A4MEMS High-Voltage amplifier modules (new)
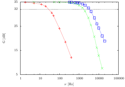
A4MEMS is a low-cost high-voltage DC amplifier. In the new version we have significantly improved the frequency response of the amplifier gain, extending the operational regime up to 2 kHz for 4 nF load.
We designed this 3-channel high-voltage amplifier as a low-cost solution for prototyping of multichannel high-voltage MEMS circuits. It is a convenient tool for driving a wide variety of electrostatic and piezoelectric actuators. Each of its 3 independent amplifiers with gain of 56 is capable of driving capacitive loads in a wide frequency range.
A4MEMS measures 110 x 60 x 30mm. It provides 0 . . . 300 V output in 3 independent channels, as well as optional high voltage output from the power block (HV on the figure 3). Devices with extended up to 0 . . . 400 V voltage range are available on special order. The unit does not require any external high voltage supply and can be powered from any 16 V 200 mA laboratory supply (lower voltages can be used to trim the maximum output voltage).
A4MEMS features a complete short circuit protection – the unit can continuously operate with all 3 outputs connected to the ground, regardless of the state of its inputs. Several units can be combined for quick prototyping of multi-channel high-voltage drivers in telecom applications and adaptive optics. The device have single common ground for all inputs, outputs, and the power supply. The case of the device is grounded.
More detailes are available in the technical documentation for the product.

Experimental results
a) no load, 2 kHz
b) 6.2 nF load, 1 kHz
c) 6.2 nF load, 1.5 kHz
d) 6.2 nF load, 2 kHz





